[1] Jiang, S., Zhou, L., Ren, L., Wang, M., Xu, C.Y., Yuan, F., Liu, Y., Yang, X., Ding, Y., 2021. Development of a comprehensive framework for quantifying the impacts of climate change and human activities on river hydrological health variation. J. Hydrol. 600, 126566. https://doi.org/10.1016/j.jhydrol.2021.126566
[2] Wang, M., Jiang, S., Ren, L., Xu, C.Y., Menzel, L., Yuan, F., Xu, Q., Liu, Y., Yang, X., 2021. Separating the effects of climate change and human activities on drought propagation via a natural and human-impacted catchment comparison method. J. Hydrol. 603, 126913. https://doi.org/10.1016/j.jhydrol.2021.126913
[3] Wang, M., Jiang, S., Ren, L., Xu, C.Y., Yuan, F., Liu, Y., Yang, X., 2020. An approach for identification and quantification of hydrological drought termination characteristics of natural and human-influenced series. J. Hydrol. 590, 125384. https://doi.org/10.1016/j.jhydrol.2020.125384

图1 流域社会经济指标、土地利用和人为影响指数空间分布图

图2 各年代际气候变化和人类活动对河流水文健康变化的贡献率

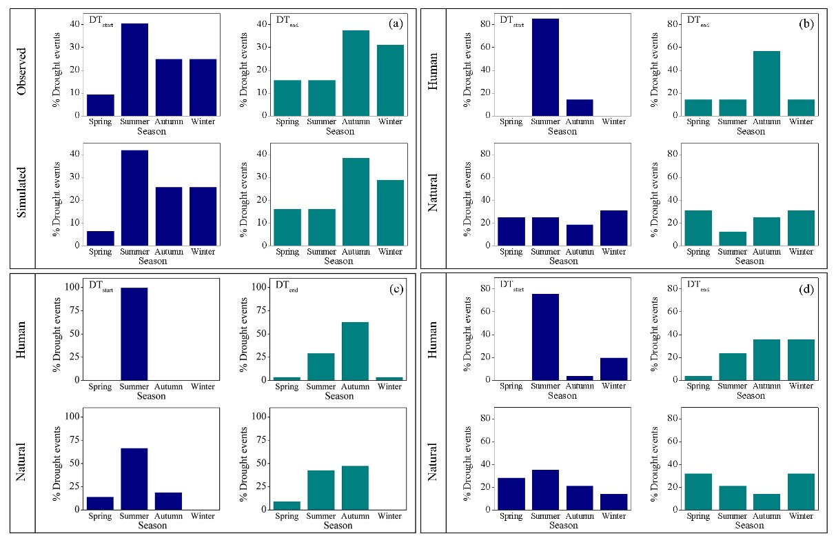
图3 人类活动影响及自然状态下干旱恢复阶段起止时间频率统计

图4 流域内人工取用水、工农业生产指标、表层土壤含水量及陆地水储量变化时间序列图



供稿:江善虎,编辑:何肖微,审核:雍斌、江善虎
